【立教大学】コンピューター断層撮影(CT)技術で量子ビーム断面を高精度可視化-回転ワイヤを使った新しい測定法を開発-



立教大学(東京都豊島区、総長:西原廉太)の太田凜氏(大学院理学研究科修士課程学生)と中野祐司理学部教授らの研究チームは、回転ワイヤを用いて多様な量子ビームの断面を可視化する新たなビーム測定法を開発し、イオンビームの2次元断面を高精度に再構成することに成功しました。この成果は、量子ビームを活用する医療、産業、基礎科学の分野において幅広い応用が期待されます。




今回開発された新技術「二軸回転ワイヤ走査法」は、特許出願済み(特願2024-129988号)であり、本研究成果は米国物理学協会(AIP)が刊行する学術誌『Review of Scientific Instruments』(9月3日付)に掲載されました。

【たった1本のワイヤでビームを「見える化」する新技術を開発】
「量子ビーム」は、基礎研究から物質の加工や分析、がん治療などさまざまな場面で活躍しています。そのビームが、どのような形で、どれくらいの強さで飛んでいるのかを調べることは、正確で安全な利用のためにとても重要です。今回、立教大学の研究チーム(以下、研究チーム)は、医療用CTスキャンの技術をヒントに、ビームの形を360度あらゆる方向から「透視」することで、その断面を精密に再現する新しい測定法を開発しました。
この技術では、細いワイヤでビームをスキャンして1次元投影データを集め、再構成アルゴリズムにより2次元画像を再構成します。これにより、従来の方法では難しかったビームの形の「見える化」が、高い精度で、しかも短時間で可能になり、さまざまな現場での応用が期待されます。

【どんなしくみ? - ワイヤが回転してビームを測る】
研究チームが開発したのは、回転する細いワイヤを使ってビームを測定する手法です。ビームの進行方向を中心に装置を回転させながら、ワイヤで1次元のビームの強さを測定します。これを繰り返すことで、ビームをあらゆる角度から「透視」することができ、それをもとに断面の2次元画像を再構成することができます。医療用のCTスキャンが体の断面を映し出すのと同じように、この装置はビームの断面像を可視化することができるのです。(図:1)
従来は、複雑な検出器を用いたり、複数のワイヤを使って測定する必要がありましたが、この新技術は、たった1本のワイヤと回転機構だけで高精度に測定できることが大きな特長です。


【高速・高精度の画像再現】
取得したデータを画像に変換するために、研究チームは医療用CT技術でも使われている再構成アルゴリズムを応用しました。解析的手法や逐次近似法など様々な手法を試し、データ処理プロセスを最適化した結果、「OS-EM法」という計算手法を使うことで、0.2ミリメートル以下の分解能を保ちつつ、0.1秒程度での高速処理が可能になりました。汎用のノートパソコン1台で処理できるほど軽量なシステムで、複雑なパターンも高い精度で再現できます。
実験では、穴が開いた格子マスクや、ユリの紋章(立教大学のシンボル)のような複雑な形をしたマスクを使ってイオンビームを切り取り、再構成画像の精度を検証。どちらも見事に再現され、細かい部分まで正確に表示されることが確認されました。(図:2、図:3)



【ビームの方向や広がりも測定可能】
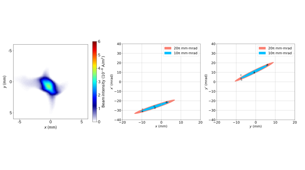
この方法では、ビームの断面だけでなく、進行方向に沿った2つの位置で断面を測ることができます。実験では、ビームの「向き」や「角度広がり」の程度をミリラジアン単位で評価することにも成功しました。この手法によりビームの品質の指標の一つであるエミッタンスを定量的に評価することも可能であることが示されました。(図:4)


【医療・産業・基礎研究へ応用期待】
この新技術を用いると、医療(粒子線治療)や半導体製造、材料分析や物理研究などにおいて、ビームの照射位置や強度をより正確に制御することが可能になります。また、非常に弱いビーム(ナノアンペア級)から強力なビーム(キロワット級)まで幅広く対応可能であり、さまざまな分野での活躍が期待されます。ビームの形や向きだけでなく、その強度分布の「絶対値」を測定できる点も重要なメリットです。今後は、装置の小型化や、画像再構成処理のさらなる高速化を目指し、産業応用に向けた開発が進められています。リアルタイムでビームの状態を把握できるようになれば、医療や製造の現場で即時のフィードバック制御も可能となり、さらに高い安全性と精密性を実現できると考えられます。見えなかったビームの姿を「見える化」する革新的な方法として、量子ビーム技術の未来を大きく切り拓くことが期待されます。






----研究助成----
本研究は日本学術振興会(JSPS)科学研究費助成事業・学術変革領域(A) 20H05848「先端ビーム制御による気相化学反応素過程の理解(研究代表者:中野祐司)」、および基盤研究(A) 25H00610「XUV環境下の原子分子ガスの物理:宇宙環境と惑星大気への挑戦(研究代表者:中野祐司)」による助成を受けて行われました。

----論文情報----
Rin Ota, Nanako Nakajima, Ryuto Takemasa, Hiroya Tamaru, Yoko Shiina, Yuji Nakano,
"High-resolution computed tomography of two-dimensional beam profile using dual-axis rotating wire", Rev. Sci. Instr. 96, 093301(2025). doi:10.1063/5.0271359



▼本件に関する問い合わせ先
立教学院企画部広報室
メール:koho@rikkyo.ac.jp


【リリース発信元】 大学プレスセンター https://www.u-presscenter.jp/

この企業の関連リリース

この企業の情報

組織名
立教大学
ホームページ
https://www.rikkyo.ac.jp/
代表者
西原 廉太
資本金
0 万円
上場
非上場
所在地
〒171-8501 東京都豊島区西池袋3丁目34-1

検索

人気の記事

カテゴリ

アクセスランキング

  • 週間
  • 月間
  • 機能と特徴
  • Twitter
  • デジタルPR研究所